
Un condensateur variable est un composant électronique conçu pour fournir une capacité réglable dans un circuit.Contrairement aux condensateurs fixes qui maintiennent une valeur constante, les condensateurs variables permettent aux utilisateurs de modifier la capacité selon leurs besoins.Cet ajustement est généralement réalisé en faisant varier la zone de chevauchement entre les plaques conductrices ou en modifiant la distance entre elles.En raison de cette flexibilité, les condensateurs variables sont largement utilisés dans les circuits nécessitant un contrôle précis du comportement électrique.

D'un point de vue structurel, les condensateurs variables sont disponibles sous plusieurs formes en fonction de leur fonction et de leur niveau de précision.Certaines conceptions utilisent des plaques rotatives contrôlées par un arbre pour un réglage continu, tandis que d'autres utilisent de petits mécanismes à vis pour un calibrage précis.Ces ions v ariat vous permettent de sélectionner le type le plus approprié en fonction de la précision requise et de l'environnement d'application.
Les condensateurs variables sont identifiés grâce à une combinaison de marquages, codes et symboles de circuit standard qui décrivent leurs propriétés électriques et leur fonction.Ces identifiants vous aident à comprendre les paramètres clés tels que la plage de capacité, la tension nominale et la tolérance.Dans de nombreux cas, ces informations sont imprimées directement sur le composant, tandis que dans les appareils plus petits, des codes alphanumériques ou des marquages simplifiés sont utilisés en raison de l'espace limité.
Une méthode d'identification largement utilisée est le système de code numérique.Dans ce système, un numéro à trois chiffres représente le valeur de capacité, où les deux premiers chiffres indiquent le valeur de base et le le troisième chiffre agit comme un multiplicateur.Par exemple, un code comme 103 correspond à 10 000 pF.Lorsque les tensions nominales sont incluses, des marquages tels que WV ou WVDC peut apparaître, indiquant la tension de fonctionnement maximale du condensateur.Si ces marquages ne sont pas présents, vous pouvez généralement vous référer aux spécifications du fabricant pour déterminer la note correcte.
En plus de valeur et tension, les condensateurs peuvent inclure caractéristiques de tolérance et de température.La tolérance est souvent exprimée en pourcentage, indiquant dans quelle mesure la capacité réelle peut varier par rapport à la valeur indiquée.Les coefficients de température sont parfois indiqués à l'aide de codes tels que NPO, qui représentent des performances stables avec un changement de capacité minimal à travers la température des ions ariat.Ces détails sont importants dans les applications où la précision et la fiabilité sont requises.

Passant de l'identification physique à la représentation du circuit, les condensateurs variables sont également reconnus par leurs symboles schématiques.Un condensateur fixe est représenté par deux plaques parallèles, tandis qu'un condensateur variable comprend une flèche traversant les plaques pour indiquer la possibilité de réglage.Cette flèche représente la plaque mobile ou le mécanisme qui modifie la capacité.Les condensateurs ajustables, conçus pour des réglages fins, sont généralement représentés par une flèche plus petite ou inclinée pour refléter leur rôle de réglage de précision.
Le principe de fonctionnement de base d'un condensateur variable repose sur son capacité à stocker l'énergie électrique entre deux plaques conductrices tout en permettant d'ajuster la valeur de la capacité selon les besoins.Semblable à un condensateur standard, il fonctionne en créant un champ électrique entre les plaques, mais ce qui le différencie est sa structure réglable.Cette fonctionnalité permet au condensateur de répondre dynamiquement aux exigences du circuit, en particulier dans les applications nécessitant un contrôle précis.
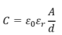
La capacité d'un condensateur est déterminée par une relation fondamentale qui dépend de la conception physique du composant.Cette relation est exprimée par l'équation ci-dessous :

Dans cette équation, la capacité (C) augmente lorsque la zone de chevauchement des plaques (A) devient plus grande ou lorsque la distance entre les plaques (d) devient plus petite.Le matériau diélectrique entre les plaques, représenté par sa permittivité relative (εᵣ), joue également un rôle important dans la détermination de la quantité d'énergie pouvant être stockée.Ce principe constitue le fondement du fonctionnement de tous les condensateurs.
S'appuyant sur ce concept, des condensateurs variables sont conçus pour ajuster physiquement ces paramètres.Dans la plupart des conceptions, un ensemble de plaques mobiles (rotor) est placé entre des plaques fixes (stator).Lorsque le rotor tourne, la zone de chevauchement entre les plaques change, ce qui modifie directement la capacité.À mesure que les plaques se chevauchent davantage, la capacité augmente ;à mesure qu'ils se séparent, la capacité diminue.
Ce comportement réglable rend les condensateurs variables particulièrement utiles dans les circuits de réglage.En modifiant la capacité, le circuit peut contrôler sa fréquence de fonctionnement, permettant ainsi de sélectionner des signaux spécifiques ou de maintenir un fonctionnement stable.Pour cette raison, les condensateurs variables sont largement utilisés dans les radios, les oscillateurs et les systèmes de communication où un contrôle précis et flexible du signal est requis.
Les condensateurs variables diélectriques à air utilisent l'air comme matériau isolant entre les plaques.La capacité est ajustée en faisant tourner un ensemble de plaques mobiles (rotor) contre des plaques fixes (stator), ce qui modifie la zone de chevauchement.L'air ayant une très faible perte diélectrique, ces condensateurs offrent une stabilité et une précision élevées, ce qui les rend idéaux pour le réglage radio et les applications haute fréquence (RF).Cependant, ils sont généralement plus grands et moins compacts que les autres types.
Les condensateurs variables à diélectrique solide utilisent des matériaux tels que la céramique, le mica ou le plastique comme diélectrique entre les plaques.Ces matériaux permettent au condensateur d'atteindre des valeurs de capacité plus élevées dans une taille plus petite.Ils sont plus compacts et largement utilisés dans les appareils électroniques modernes où l’espace est limité.Cependant, par rapport aux types diélectriques à air, ils peuvent avoir une stabilité légèrement inférieure et être affectés par les changements de température en fonction du matériau utilisé.
Les technologies modernes de condensateurs variables incluent des composants avancés tels que des varactors (diodes varicap) et des condensateurs basés sur MEMS.Ces dispositifs ajustent la capacité électroniquement plutôt que mécaniquement.Par exemple, les diodes varactor modifient leur capacité en fonction de la tension appliquée, ce qui les rend idéales pour le réglage automatisé des systèmes de communication.Ces solutions modernes sont largement utilisées dans les smartphones, les appareils sans fil et les circuits intégrés car elles sont compactes, fiables et adaptées aux applications électroniques à haut débit.
Les condensateurs variables à vide utilisent le vide comme matériau diélectrique entre les plaques.Cette conception supprime les pertes liées à l'air et permet au condensateur de gérer des tensions et des niveaux de puissance très élevés.La capacité est ajustée en rapprochant ou en éloignant les plaques, comme pour les autres condensateurs variables.Ces condensateurs offrent une excellente stabilité, de faibles pertes et une fiabilité élevée, ce qui les rend adaptés aux émetteurs RF haute puissance et aux applications industrielles.Cependant, ils sont plus chers et sont principalement utilisés dans des systèmes spécialisés.
Les condensateurs trimmer sont de petits condensateurs réglables utilisés pour le réglage et l'étalonnage précis.Contrairement aux condensateurs variables standard, ils ne sont pas destinés à un réglage continu mais sont réglés une fois lors de la configuration du circuit.Ils sont généralement ajustés à l'aide d'un tournevis et se trouvent généralement sur les cartes de circuits imprimés (PCB).Les condensateurs ajustables sont largement utilisés dans les oscillateurs, les filtres et les circuits RF où un réglage précis est requis.Leur taille compacte les rend idéales pour les conceptions à espace limité.
Les condensateurs variables différentiels sont constitués de deux condensateurs qui changent de capacité simultanément mais dans des directions opposées.À mesure qu’une capacité augmente, l’autre diminue.Cette conception est utile dans les circuits qui nécessitent un réglage équilibré ou un contrôle du signal.Ils sont couramment utilisés dans les circuits en pont, les systèmes de mesure et les applications RF de précision.Leur capacité à fournir un ajustement symétrique les rend précieux dans les conceptions électroniques spécialisées.
Les condensateurs variables à stator divisé ont deux sections de stator distinctes connectées de manière à permettre un réglage équilibré.Le rotor se déplace entre les plaques du stator, ajustant la capacité de manière égale des deux côtés.Ce type est souvent utilisé dans les circuits RF où des signaux équilibrés sont requis, comme dans les systèmes de réglage d'antenne.La conception contribue à réduire la distorsion du signal et à améliorer les performances globales du circuit.
Les condensateurs variables en groupe sont constitués de plusieurs condensateurs connectés ensemble et contrôlés par un seul arbre.Lorsque l'arbre tourne, toutes les sections s'ajustent simultanément.Ce type est couramment utilisé dans les récepteurs radio où plusieurs circuits doivent être réglés en même temps.Il garantit un réglage synchronisé, ce qui est important pour maintenir la précision du signal à travers les différentes étapes du circuit.
L'image ci-dessous représente le type de condensateur variable le plus utilisé, en particulier un condensateur variable à air rotatif.Il s'agit de l'une des conceptions les plus couramment utilisées dans les circuits de réglage tels que les radios et les systèmes RF.
La construction de ce type de condensateur variable repose sur deux parties principales : les plaques fixes (stator) et les plaques mobiles (rotor).Les plaques fixes sont montées solidement à l'intérieur du châssis du condensateur et restent immobiles pendant le fonctionnement.En revanche, les plateaux mobiles sont fixés à un arbre rotatif, ce qui leur permet de tourner et de changer de position par rapport aux plateaux fixes.

Comme le montre l'image, les plaques du rotor glissent entre les plaques du stator sans les toucher.Lorsque les plaques se chevauchent davantage, la surface effective des plaques augmente, ce qui entraîne une capacité plus élevée.Lorsque le chevauchement diminue, la capacité diminue.Ce mouvement mécanique est contrôlé par la rotation de l'arbre, permettant un réglage fluide et continu de la capacité.
L'ensemble de la structure est soutenu par un cadre isolant qui maintient les plaques correctement alignées et isolées électriquement si nécessaire.L'air agit comme matériau diélectrique entre les plaques, ce qui contribue à réduire les pertes d'énergie et à améliorer les performances, en particulier à hautes fréquences.En raison de cette conception simple et efficace, ce type de condensateur variable est couramment utilisé dans les applications de réglage où un contrôle stable et précis est requis.

• Circuits de réglage radio – Utilisés pour régler la fréquence des radios AM/FM afin de sélectionner différentes stations.
• Circuits RF (radiofréquence) – Aide à régler et à faire correspondre les fréquences dans les systèmes de communication tels que les émetteurs et les récepteurs.
• Oscillateurs – Utilisés pour contrôler et stabiliser la fréquence de sortie dans les circuits oscillateurs.
• Unités de réglage d'antenne – Ajuste l'impédance pour améliorer l'efficacité de la transmission et de la réception du signal.
• Filtres et circuits de traitement du signal – Utilisés pour affiner la réponse en fréquence des filtres passe-bande, passe-bas et passe-haut.
• Récepteurs de télévision – Utilisés dans les anciens systèmes de télévision pour régler les chaînes et ajuster les fréquences des signaux.
• Générateurs de signaux – Permet de faire varier la fréquence de sortie à des fins de test et de mesure.
• Équipement médical – Utilisé dans les dispositifs médicaux RF pour un contrôle précis des signaux.
• Dispositifs de communication sans fil – Appliqués aux systèmes mobiles et sans fil pour le réglage des fréquences et l'optimisation des signaux.
• Équipement d'étalonnage et de test – Utilisé pour ajuster les circuits pendant la configuration et garantir des performances précises.
Les condensateurs variables offrent une flexibilité dans la conception des circuits car leur capacité peut être ajustée selon les besoins.Cela les rend très utiles dans les applications de réglage et de contrôle de fréquence telles que les radios et les circuits RF.Ils offrent un contrôle précis, permettant aux utilisateurs d'affiner les signaux pour de meilleures performances et précision.De plus, de nombreux types, notamment les condensateurs variables à air, présentent une faible perte d'énergie et une bonne stabilité aux hautes fréquences.Leur structure mécanique simple les rend également fiables et faciles à utiliser dans divers systèmes électroniques.
Malgré leurs avantages, les condensateurs variables présentent également certaines limites.Les types mécaniques sont généralement plus grands que les condensateurs fixes, ce qui les rend moins adaptés aux appareils modernes et compacts.Ils peuvent également s’user avec le temps en raison des pièces mobiles, ce qui peut affecter leur fiabilité à long terme.Dans certains cas, ils sont sensibles aux facteurs environnementaux tels que la poussière, les vibrations et les changements de température.De plus, les condensateurs variables ont généralement une plage de capacités limitée, qui peut ne pas convenir à toutes les applications.
|
Caractéristique |
Variable
Condensateur |
Corrigé
Condensateur |
|
Capacité
Valeur |
Réglable (peut
être changé) |
Constante (ne peut pas
être changé) |
|
Travailler
Principe |
Changements
capacité en faisant varier le chevauchement ou la distance des plaques |
Corrigé
capacité basée sur la conception physique |
|
Structure |
A des pièces mobiles
(plaques de rotor et de stator) |
Aucune pièce mobile,
structure entièrement scellée |
|
Ajustement
Méthode |
Manuel
(arbre/vis) ou électronique (varactor) |
Aucun ajustement
requis |
|
Flexibilité |
Élevé – peut être
réglé pendant le fonctionnement |
Faible – corrigé une fois
fabriqué |
|
Réglage de précision |
Excellent pour
applications de réglage fin |
Limité à
valeur prédéfinie |
|
Taille |
Généralement plus grand
(types mécaniques) |
Compact et
petite taille |
|
Fiabilité |
Modéré –
les pièces mobiles peuvent s'user |
Élevé – non
usure mécanique |
|
Durabilité |
Peut se dégrader
temps dû au mouvement mécanique |
Longue durée de vie
et stable |
|
Fréquence
Contrôle |
Idéal pour le réglage
et réglage de la fréquence |
Ne convient pas pour
réglage |
|
Applications |
Radios, RF
circuits, oscillateurs, réglage d'antenne |
Alimentations,
filtrage, couplage, découplage |
|
Coût |
Généralement plus élevé
(en particulier les types de précision) |
Généralement peu coûteux
et largement disponible |
|
Capacité
Gamme |
Limité
plage réglable |
Large gamme de
valeurs fixes disponibles |
|
Stabilité |
Peut varier avec
position mécanique et environnement |
Très stable sur
temps |
|
Entretien |
Peut nécessiter
réglage ou nettoyage |
Sans entretien |
|
Types courants |
Air variable,
tondeuse, varactor, aspirateur |
Céramique,
électrolytique, film, mica |
|
Utilisation dans le moderne
Appareils |
Moins courant
(sauf varactors) |
Largement utilisé dans
tous les appareils électroniques |
|
Gestion de la puissance |
Modéré
(dépend du type) |
Large gamme de
puissance faible à élevée |
|
Température
Sensibilité |
Peut être affecté
selon la conception |
Plus stable avec
sélection du type approprié |
|
Cas d'utilisation typique |
Circuits de réglage
et systèmes réglables |
Usage général
circuits électroniques |
• Plage de capacité - Choisissez un condensateur avec une plage de capacités qui correspond aux exigences de votre circuit (par exemple, plage pF pour le réglage RF).
• Tension nominale - Assurez-vous que le condensateur peut gérer la tension maximale dans le circuit pour éviter tout dommage ou panne.
• Type de diélectrique - Choisissez entre l'air, la céramique ou le vide en fonction de la stabilité, de la taille et des besoins de l'application.
• Fréquence d'opération - Pour les applications haute fréquence (RF), choisissez des types à faibles pertes comme les condensateurs à air ou à vide.
• Méthode d'ajustement - Décidez si vous avez besoin d'un réglage continu (type rotatif) ou d'un réglage fin (condensateur trimmer).
• Taille et facteur de forme - Tenez compte de l'espace disponible dans votre circuit ou PCB lors de la sélection de la taille du composant.
• Stabilité et précision - Choisissez un condensateur ayant une bonne stabilité en température si votre application nécessite de la précision.
• Capacité de gestion de la puissance - Pour les applications haute puissance, sélectionnez des condensateurs conçus pour gérer des niveaux de courant et de tension plus élevés.
• Conditions environnementales - Tenez compte de facteurs tels que la température, l'humidité et les vibrations qui peuvent affecter les performances.
• Exigences de candidature - Faites correspondre le type de condensateur à votre cas d'utilisation, tel que le réglage RF, les oscillateurs ou l'adaptation d'antenne.
Les condensateurs variables offrent une capacité réglable, ce qui les rend très utiles dans les applications de réglage et de contrôle de fréquence.Leur principe de fonctionnement, basé sur la modification de la relation physique entre les plaques du condensateur, permet un contrôle précis du comportement électrique des circuits.Avec différents types disponibles, ils peuvent être appliqués dans les systèmes électroniques traditionnels et avancés.En plus de leur large gamme d'applications, comprendre leur structure, leurs avantages et leurs limites aide à sélectionner le composant adapté à des besoins spécifiques..
À PROPOS DE NOUS
Satisfaction client à chaque fois.Confiance mutuelle et intérêts communs.
Meilleure taille de fil pour les circuits de 50 A
2026-04-07
Types de fonctionnement et utilisations des pièces expliquées des fusibles HRC
2026-04-07
La plupart des condensateurs variables fonctionnent dans la plage du picofarad (pF), généralement de quelques pF à plusieurs centaines de pF, selon le conception et application.
Oui, mais seuls des types spécifiques comme les condensateurs variables à vide sont conçus pour gérer la haute tension en toute sécurité.
Une panne peut entraîner une fréquence instable, une perte de signal ou un réglage incorrect du circuit.
Les types mécaniques sont moins courants, mais les versions électroniques comme les diodes varactor sont largement utilisées dans les appareils modernes.
Gardez-le propre, évitez toute force excessive lors du réglage et protégez-le de la poussière et de l'humidité.
Les types rotatifs utilisent des boutons ou des arbres, tandis que les condensateurs réglables sont ajustés à l'aide d'un petit tournevis.
Uniquement dans les circuits qui ne nécessitent pas de réglage ;sinon, le remplacement n'est pas recommandé.
Les condensateurs de réglage sont ajustés régulièrement, tandis que les condensateurs de réglage sont réglés une fois pour un étalonnage précis.
Email: Info@ariat-tech.comHK TEL: +852 30501966AJOUTER: 2703-27F Ho King Comm Centre 2-16,
Fa Yuen St MongKok Kowloon, Hong Kong.